最新的雇主满意度调查报告发布!
快来看看自己的学校有没有选错!
还没选定学校的更要看!!!

2018 ESS年度报告
Employer Satisfaction Survey (ESS)是QILT(Quality Indicators for Learning and Teaching,学习与教学质量指标)调查的一部分,
由联邦政府资助,是全澳规模最大、信息最全的毕业生满意度调查。
该报告分别从:
基础能力(Foundation),
适应能力(Adaptive),
协作能力(Collborative),
技术能力(Technical),
可雇佣性技能(Employability)
五个大方面,对比雇主对毕业生不同方面能力的满意度,
最终折合成综合满意度(overall) 。

ESS的信息及相关数据来自于参加Graduate Outcomes Survey (GOS)调查的毕业生直属上司。
这说明,以上五大方面能力,是澳洲雇主招聘人才的最重要审核标准。
而最新的报告从课程、学校等不同角度,
评比了雇主对不同大学毕业生的各方面满意度。
1
总体满意度
报告首先列出了2018年雇主对高校毕业生的总体满意值,
纵向对比前两年,2018年的总体满意度达到84.8%,
达到最近3年的最高值!

而五大项能力中,
雇主最为满意的是基础能力,
其次是技术能力,
满意度均在90分以上。

2
专业满意度
报告按专业给出了雇主对不同专业毕业生的满意程度。

从结果来看,澳洲雇主对农业和环境学类专业的毕业生满意率最高,
其次是建筑类毕业生;
而紧随建筑类之后的,分别是IT类、自然物理科学类以及工程相关类毕业生。
具体到五大能力,雇主对不同专业毕业生在各方面的单独评分如下:

看完专业满意度,小伙伴们是不是迫不及待想看看雇主们对澳洲各大高校的满意度~
别急,往下拉~
3
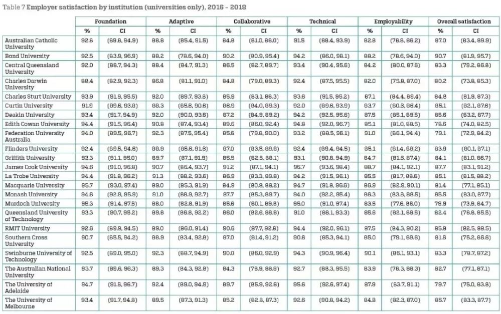
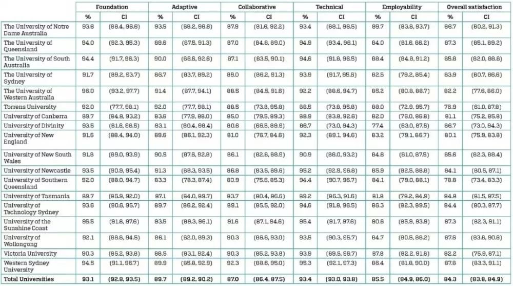
大学满意度
首先,我们来看图说话,


纵向排名表如下:

从报告来看,全澳各大学的平均满意度在84.3%。
在这次排名中,咱们昆士兰的大学表现也是很不错滴~
昆士兰的邦德大学(Bond University)毕业生的雇主满意率最高,达到90.7%。

紧随其后的是西悉尼大学(Western Sydney University),
以及昆士兰的詹姆士库克大学(James Cook University)。

纵观八大,昆士兰大学、墨大、新南威尔士大学、莫纳什大学的满意度均在全国平均满意度之上。
扫描二维码
获得房产一手资讯