上周,中国高考结束后,不少考生吐槽:
今年的数学,
真的是太难了!



说今年数学难,绝对不夸张,比如江苏卷最后3大大题,题题都是夺命题,根据考生的说法,
就是做完以后,
背都湿透了。

与此同时,在海的另一边,澳洲的高中生们,也参加了今年的夏季高考。
以往,考完之后大家应该高兴才是,因为如果考完通过,那么你就不用再学数学了,
可这次考完,学生们变得沉默寡言了…

很多老师在学生们考完试之后,比学生都急,因为当老师们看到这次考试的卷子的时候,就基本意识到,
他们的学生肯定做不出来这些题,甚至很多题他们做起来都费劲。

有的学生在考完以后,含着眼泪说:
“我辛辛苦苦努力学习了很久数学,甚至在周末的时候,我也在很努力的去学习,还去找到老师让老师帮我加时间辅导,帮我解答各种疑难题,我们真的非常努力。老师也鼓励我们说考试题应该不会难太多,
可这次考试,好多题我都看不懂啊!

而且不光是我,基本上所有的同学们都不会啊,这些题目已经远远超过我们的能力啦!

而老师和校长们更加愤怒,说新州教育局出这样的题,简直就是残害学生,
让澳洲的孩子们在自卑和不自信中成长,让他们付出的努力付之东流,是不尊重学生的!
Thomas Reddall High School 中学的校长,目前已经联合了很多学校的校长,准备联名抗议新州教育局。

反正,无论怎么说,这几天,全新州的高中都沉浸在这次数学高考的愤怒之中,铺天盖地的责怪声此起彼伏,学生骂,学生家长骂,媒体骂,老师骂,校长骂。
他们认为新州教育局这次的数学考试是历史性的,毁灭性的,是一种错误!还有不少学校要求重新考试!

面对此起彼伏的抗议,新州教育局终于扛不住压力,做出了表示:
“我们早就说过了,希望学生能将实践和理论相结合去解题,而不是单纯的一问一答,尤其是数学中的代数,很多人还认为数学就应该是一问一答,那种想法是错误的。
我们出的题也许是难了,但是都是很有经验的一群老师们出的,所以题目没问题啊,不重考!”

好多现在已经升到大学的学生,在聊起这次考试的时候也表态了。
他们认为其实考试难,大家抱怨,这一点都不奇怪,这种考试根本就跟屎一样,学生不可能考好,因为高中数学他们学的都是皮毛,从来都不灵活,基本都是理论,没有实践。
他们还认为澳洲的数学教育目前存在严重问题。必须要结合实践,灵活才可以。
那么问题来了——
那到底是什么题,
让澳洲教育界哀声一片?
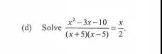
小编顺藤摸瓜,在教育部的网站上找到了一些原题:




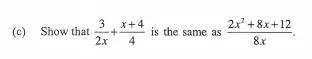
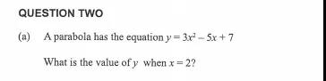
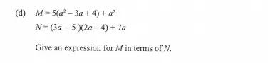
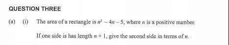
以下的4、5两题是本次考试中比较难的考题!







这就是澳洲的高考题?
难到老师都做不出来的题?
这难道不是中国初中难度的题吗?
中国高考生知道后全体崩溃了…
再放一份前几年(2016年)的新州高考试题,
大家随意感受一下:




















网友评论:
Cindy Wang: 放在中国分分钟搞定,简直就是送分题!
Garry:难怪大学里他们数学会挂很多人。
Cathy MM:完全不会。
Petty Lyu:为何我不在澳洲读书呢,哭哭。
Roseline:我觉得这个卷子是考英语吧!
Tony Tong:千万不要说简单,翻译成中文会有思路,但是考虑一下当地12年级学生,没有计算器,国际生还没有翻译,这次高考真的挺不容易的。
扫描二维码
获得房产一手资讯